亚马逊等电商平台CPC广告算法
这里讲解一下电商平台的广告算法,虽然每个公司的广告算法会有一定的差异,但是有部分本质是想通的。而我个人认为最值得去阅读的是阿里技术团队19年写的cpc优化算法论文。
下文是我尝试用人话来讲解这篇论文中与电商卖家的相关点。因为尝试用人话,所以真的,很麻烦。另外论文虽然是阿里技术团队所写的,但是在峰会上我至摘取了一个通用于所有电商平台的部分,那就是核心思想,如何最大化利益的策略。
平台优化广告的依据
在这篇论文中有提及到平台优化卖家广告中的策略,那就是在ROI和流量质量为前提下,最大化卖家的GMV。因为GMV最大化是最符合平台利益的。
As a typical case, this paper sets ROI and gaining quality traffic as the advertisers’ demand, and GMV as the platform ecology index, which along with platform revenue are optimized by adjusting the advertisers’ bids.
在最大化卖家GMV,是基于一个稳定的预期ROI的,而这个是基于下述公式的。

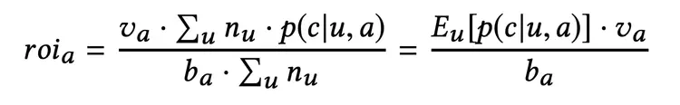
参数说明:
roi_a: 特定广告(称为a)的预期ROI。- 分子上的
v_a:PPB(Paid Per Buy),预期客单价。 - 分子上的
sum_u of n_u · p(c|u, a):sum就是那个像z一样的符号,象征着统计学的总和。而sum_u,就是用户的总和。n_u就是用户在一个时间段内点击广告的次数。p就是一个函数,接受u和a作为输入。u就是用户数据,a就是广告的整体数据,所以p(c|u, a)就是预估的用户u针对这个广告a的转化率c。所以 sum_u of n_u · p(c|u, a) 就是一段时间内所有看到广告的用户的点击总数乘以该用户的支付转化率。 - 分母上的
b_a:广告a的竞价bid。 - 分母上的
sum_u of n_u:一段时间内看到广告的所有用户的总共点击次数。 - 分子上的
E_u[p(c|u, a)]:在综合考虑完所有用户的数据后,所得的预期用户转化率c。
这个公式已经算是非常直观的了,几乎可以说没有深刻的思想。它只是体现出来一系列平台内每天都在发生的广告事件。有很多用户会点击广告,而这些用户对商品的预期cvr也各不相同,每个商品的预期PPB也不同,最终会有不同的预期ROI。
下面开始讲依据。但是要提醒各位,这篇文章是还没写完的。我需要投入更多的时间去写。但是工作量实在是太大了,已经是007了,我会尽快再完善。
ROI决定了平台的自动调价功能
上述公式,是不能单独运作的。因为它只是象征着一个店铺的其中一个广告a的预期ROI。一旦平台有了一个预期的ROI,那么它就有了一个稳定ROI的公式,如下。

b-*_a就是自动调整的出价bid,所以平台只要所调整的价钱,符合上述公式,就可以避免你的ROI下降。
这里有一个很重要的事情,这个公式是基于平台计算这个用户对你的商品的的预期CVR(也就是p函数)。如果这个CVR数值在一定的统计范围内是正确的,那么当然上述公式会是正确的,否则是错误的。一般电商平台都早已融合深度学习来提高这个p函数的准确率。换种说法,错误的概率,应该是在统计学范围内可被接受。
这个公式中另外一个需要注意的是,分母中的是一段时间内的所有用户的预期转化率CVR。而分子是,你的广告展现给特定一个用户的时候的预估CVR。
平台的算法并不一定能长期优化你的广告ROI/Acos
有很多卖家是不能从数学和算法上讲清楚,为什么ROI随着时间增加,广告的ROI或者Acos表现得越来越好。目前我在行业内没有见到过一个。这其中的核心是,因为p函数是应该使用了深度学习的技术,而随着时间的增加,p函数针对你的广告会有一个越来越好的CVR预测模型。
即使p函数不会随着时间优化,在广告系统中,都会有筛选广告候选人的一步。在淘宝系统中,他们称其为o Search Node (SN) Server。而这个在亚马逊体系中暂未知是什么命名。但是原理是需要一致的,那就是,不可能展现所有广告给单独一个用户,因为没有这么多广告位。所以需要计算出这个用户对你的产品的预测喜爱程度。在数学里面,最好的体现就是E[CVR],也就是原文中的 E[p(c|u,a)]
但是这不是必然的,这也是为什么有很多产品的ROI/Acos并不能随着长时间的广告有明显的下降。但这是为什么?核心思想就是在优化p函数的过程中,是需要考虑到用户画像的。一个产品如果它的特征不够明显,或者是说,如果是太独特的设计,那么平台很难捕捉得到一个合理的人物画像,那么长期久很难提供一个越来越准确的p函数。相反,这个p函数会越来越畸形,最终变成一个完全不准确的函数,而它也失去了它原来的功能,那就是区分开优质流量和劣质流量。
产品差异化,也要满足大部分人的需求
这句话是我不想说的,因为我们都一直在鼓励差异化,但是很多卖家的差异化,直接就逃离了大部分人的需求。小部分人的需求在电商环境中,仍然是蛋糕太小的。但是上述这种说法,仍然过于人文,而我们需要讲究科学。
在广告算法中,过度差异化的产品,也就是过于小众的产品,会让广告难以捕捉到准确的人群。部分运营会说,可以依赖关键字的定向,但是既然你是一个差异化且小众的产品,那么就很难想象你这个关键字到底有多少的搜索量了。所以这类商品的投放广告的时候,都是需要大量依赖广泛匹配等类似的自动匹配算法。一旦涉及到这类匹配,也就又回到了人群定向和p函数的这个范畴。而上文有讲解过,如果产品款式特殊,p函数将很难被训练成准确的样子,相反,一般只会越来越变形。
如果产品真的差异化很严重,并且只适合小众人群,我还是推荐独立站会更合适。
产品调整的策略更加明确
如果一个产品在一定周期内,ACOS/ROAS 没有下降,则这个产品大概率是在推荐的过程中,没有得到系统的优化。也就是说,你这个产品人群特征并不明显。这个时候作为运营,你必须要回头看一下,这个产品,是不是大众款。
如果你的产品不是大众款,那么你需要判断你的产品是不是listing写得有问题,因为既然已经是小众款式了,你很需要listing上的关键字去协助系统持续性优化p函数。
如果你的产品是大众款,那么问题几乎可以说是在款式/图片上。这个时候作为运营,你要不选择放弃本个产品,要不选择趁早换图。这是为什么呢?因为面对大众款式,p函数的持续优化能力是值得信任的,至少这个p函数应该是能持续性提升自己计算预测CVR的能力。但是你的产品的Acos并没有能随着时间下降,这是因为你的产品虽然看上去是大众款,实际上有一些小因素阻碍了它的转化。这些小因素可能是图片,也可能是评论区的评分。所以如果你确定是大众款式并且Acos没有随着时间下降,那么你应该重新审视下同行和你的图片和review的对比。
这里所说的Acos随着时间下降的意思,并不是说你的Aco一定会从80%将至10%。而可能是80%降至65%。不同类目竞争压力不同,下限固然也不同。
平台广告vs流媒体广告
在峰会上讲解这个公式的时候,提出了一个重要的问题,那就是facebook广告为什么这么难。为什么大多数卖家投放facebook广告的时候,往往ROI都非常难看。因为Facebook广告的优化方向是和平台电商不一样的。一般Youtube,Facebook,还有国内的抖音这类流媒体,都是以优化CTR为主的。他们没有办法像平台电商那样子用GMV最大化作为策略,因为他们缺乏CVR数据。
站外广告大多数以优化CTR为主
正如上面所说的,站外流量渠道因为缺乏了CVR数据,所以很难用最大化GMV,稳定ROI的策略来帮助商家优化广告。大多数时候只能用最大化CTR,最大化预估页面逗留时间,来实现广告优化的目的。
有些人就会分析,Facebook和Tiktok都有Pixel,Google也有analytics可以跟踪站内销售,所以他们也能通过最大化GMV来进行广告优化策略。我个人是持坚决否定的立场的,因为无论是pixel和analytics都无法真正意义上100%跟踪正确,一旦数据丢失就会极大的影响广告算法的判断,最终只会得到一个畸形的GMV优化策略。以目前互联网的形态,只有优化CTR是最合理的。
我下面将会使用Facebook作为示范继续讲解。Facebook具备很好的代表性,他们拥有庞大的人群,成熟的广告系统,世界一流的广告优化算法,而且同时备受中国大陆卖家的喜爱。
像Facebook这类公司也知道单纯的预测CTR也是特别不可行的,因为它怎么知道用户对哪些广告会有CTR呢?Facebook很依赖使用用户的隐私信息,用于增强广告的准确度,因为他们的算法里,拥有用户的隐私参数。这也是为什么,在2020年12月的时候,Facebook对苹果IOS14修改了IDFA隐私条款表示非常不满,真实原因很明显是因为苹果的设备IDFA会直接影响facebook的广告准确度和效果跟踪,进而影响了facebook的盈利。
值得强调的是,对于平台电商来说,这类烦恼将会少一些。因为平台电商掌握了用户的所有购物数据,也就相当于,他们不需要去猜测用户买过什么,而且可以直接使用例如Collaborative filtering这类算法进行好物推荐。
而且平台电商还具备搜索功能,大多数用户需要购物的时候直接搜索关键字即可,然后就正式进入到上述的广告系统中和CVR预测的流程。这些都是Facebook等流媒体不具备的。
这也是为什么Facebook的广告是以最大化CTR为最终目的,因为这是一种无奈之举。在这种模型下,虚假广告由于CTR爆表,往往会获得facebook等流媒体广告系统的青睐。因为,这些CTR爆表的虚假广告,系统对他们的预测模型会错判,误认为这产品真的是人见人爱。最终就有了现在的facebook的爆款模式了。
Q:Facebook Pixel能不能合理跟踪CVR
A:可以跟踪,但是数据并不完整。换种说法,在广告优化的过程中,具备参考价值,但不能作为绝对依据。
精品模式 + Facebook何去何从
爆款模式由于离谱的虚假广告,所以称霸facebook已经至少5~7年了。精品模式的卖家想要在Facebook这类流媒体中存活下来,理论上来说是可能的,现实是,你需要做对很多件事情。
第一件事情就是,你需要明确你的方向,是出单还是品牌。
我在峰会中,已经详解过为什么CPM曝光广告被大多数卖家低估,也讲解了如何结合CPM和CPC一起打才会有效果。而这个CPM我在峰会上只是强调了Youtube的视频广告。但是Facebook的CPM广告也是可以考虑的。所以当你打算做精品卖家并且想要结合Facebook进行发展的时候,你需要想明白,到底是要投放CPM还是投放CPC。
记住,如果你一开始就投放CPC,很有可能你永远都不可能赚到钱。因为你的CPC的ROI将会永远是亏损的,当然除非你的产品和广告创意非常牛逼。
我这里温馨提示一些卖家,上面说的你如果做精品,直接投放cpc,亏损的概率很大,这是基于你的产品仍然是正常卖家的水平。如果你的产品是真的超级好,广告创意图或者视频真的超级棒,那么当然,你的cpc赚钱也是可能的。但是你需要客观审视下自己的产品。
如果你投放CPM,会让你的产品在某个特定人群(这个人群是你自己所设置的人群特征控制的)中变得知名。大概要多少曝光才足够呢?不同类目当然不同,但是硬是给一个数字,那就是100万的曝光至少。然后后续你会发现,你的网站的自然流量会慢慢多起来,以及你的其它cpc广告的ROI也会逐步攀升。
所以你需要做出一个选择,你是花费时间在产品和广告创意上,然后直接做cpc广告。还是说,花费资金烧CPM广告去销售一个大众产品,然后再配合cpc和自然流量出单。
但是在目前恶劣的竞争环境下,你需要做的,恐怕是优秀的产品+cpm打造品牌+自然流量/cpc广告进行转化,这恐怕是唯一一条路。
盲目的在Facebook投放CPC这类以转化计算效果的广告只会让你的精品之路走向死胡同,因为你的竞争对手很有可能都是一些夸张的广告,虚假的产品。
我还未完全写完,因为时间的缘故。只能等后续回来再补充了。这边可以讨论的东西实在是太多了。
部分内容,还未写完。
### 所以想要投放好流媒体,站内优化少不了
我见过太多的卖家,在流媒体投放ROI不好看的时候,都会表现出一个极大的态度,那就是广告垃圾。其实有时候并非如此,也可能是因为你站内转化率太低了,只是你压根没有察觉出来。
目前跟踪站内转化效果建议使用Facebook pixel。
### 流媒体应该结合CPM打法
在另外一篇文章中有详细讲解CPM的打法以及重要程度。流媒体由于本身转化不好,大多数直接投放流媒体广告的卖家都血亏收场。但是其实流媒体是更加适合打造品牌的,而不是直接转化。但是这个投入非常大,至少并不小。所以一般的小卖是不会做这类投放的。